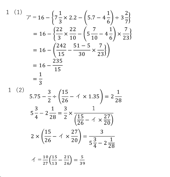
NN桜蔭 算数WORK 全ての4冊 問題と解答 平成31年度入試過去問題(算数 解答)(1ページ目)|桜蔭中学校の入試
(2402件)
Pontaパス特典
サンキュー配送
6666円(税込)
67ポイント(1%)
Pontaパス会員ならさらに+1%ポイント還元!
送料
(
)
2402
配送情報
お届け予定日:2026.04.21 2:26までにお届け
※一部地域・離島につきましては、表示のお届け予定日期間内にお届けできない場合があります。
ロットナンバー
77364188656
お買い物の前にチェック!
Pontaパス会員なら
ポイント+1%
ポイント+1%
商品説明





NN桜蔭算数WORKセット。\rオリジナル算数問題と解答です\r全部4冊セットとなります。\r\r使用済み書き込み\r細かい方ご遠慮ください\r\rご覧いただきありがとうございます。
| カテゴリー: | 本・雑誌・漫画>>>本>>>語学・辞書・学習参考書 |
|---|---|
| 商品の状態: | 傷や汚れあり","多くの人が見てわかるような傷や汚れがある |
| 配送料の負担: | 送料込み(出品者負担) |
| 配送の方法: | 佐川急便/日本郵便 |
| 発送元の地域: | 未定 |
| 発送までの日数: | 4~7日で発送 |
レビュー
商品の評価:




4.8点(2402件)
- takekazu1226
- 子供がプリンセスに興味を持ち始めたので、購入しました。 思っていたサイズよりかなり小さくビックリしましたが、価格も安く、置き場所も取らないので意外と良いです! 内容もうまくまとめてあり、短めなので、寝かしつけ用の本として利用していますが、旅行などに行く時にも重宝しそうです。
- aya59802702
- オレンジの表紙が我が子の目を惹くらしく、毎日読んでいます。
- ぇみちぃ。
- 2歳の娘はアンパンマンが大好き!アンパンマンの本にしてはかなり安いですよね! 内容はドキンちゃんが花をバイキンマンにねだり、メロンパンナがロールパンナの為に育てていた花壇の花を、バイキンマンが奪ってしまうというストーリーです! 娘はやっぱり、アーンパーンチ!→ばいばいきーん!!の所がお気に入りです!
- good blue
- 同じタイプの問題がひたすら続き、基礎固めにはいいのかなとも思いますが、飽きそう…。しかし娘はあまり気にせず取り組んでいました。こちらは◯時と◯時半のみの内容。2冊に分けず、1冊で分読みまで網羅してもらえるとありがたいです。
- miruchann
- 子供の頃、よく読んでいた絵本なので、1歳になる本が好きな姪っ子に誕生日プレゼントしました。まだ、内容とか理解できないと思いますがこれから先、一緒にみるのを楽しみにしています。
- kamoco01
- たまたまご飯を食べに行った食堂に置いてあり、食後にせがまれて読むことになりました。 絵の美しさに読みながら途中で泣きそうになりました。 一回読んだだけで娘のお気に入りになり「あの絵本買って」と何度もせがまれ購入することに。 飾っておきたい絵本です。 何度見ても泣きそうになる美しい景色です。
- ALABASTRO
- 1歳1ヶ月の娘の為に購入しました。似たような商品は他にも沢山ありますが、鍵盤が光るので娘にも分かりやすいかなと思ってこちらの商品にしました。思っていた通り、光る鍵盤が楽しいようで、自動演奏モードで遊ばせています。目を離すと楽譜を折ったり舐めたりしそうなので、取り外せるようになっていればと思い星4つにしました。
- webeye
- 以前図書館で一度借りてから、子どもが気に入り何度も借りるように 何年かして忘れたかと思いきや「あのおかえしの本、面白かったよねー。また読みたい!」と言い出すようになりました 図書館に行っても見つからず、それならばと思い購入しました いまでは下の子たちも大ファンで「読んで読んで!」とせがんできます
- ゆんゆん5499
- 子供の頃、ぐりとぐらシリーズが大好きだったので1歳になる本が好きな姪っ子に誕生日プレゼントしました。(私も読んでみたかった)まだ、内容とか理解できないと思いますがこれから先、一緒にみるのを楽しみにしています。
- AMW
- 以前このシリーズの別のものを購入したのですが、とっても興味を持ってくれたのでシリーズものをと思い購入しました。親も楽しめていいいです!
- さとぴょんアタック
- この方の絵は、本当にタッチが綺麗で癒されます★彡娘より私の方がこの番組が好きなのですが、この絵本を見たら娘も嬉しそうにめくってました。シールはまだ与えてませんが、絵だけで少しは持ちます。
- totoro7897
- この本が欲しかったとママの言葉。プレゼントの本をひろげると、孫はじっとママの読むのを聞いて注目。お気に入りになりそうです。未だ月齢が低いので、ママが「きんぎょはどこかな?」に対して、初日は、何ページ目でもきんぎょは表紙にいることになってしまいました。
すべて見る
お店の情報
7,367
連絡・応対
4.3
配送スピード
4.3
梱包
4.3










